北京冬奧會延慶賽區場館水資源利用方案比選
摘要:介紹了北京冬奧會延慶賽區水資源供需情況,并對水資源利用方案進行比選。基于完整年尺度的水資源分析顯示,延慶賽區奧運年需從外部調水57.09×104m3,其中地表水47.11×104m3,自來水9.98×104m3;非奧運年需從外部調水16.35×104m3,全部為自來水。基于逐日分析的水資源利用方案顯示,非奧運年再生水系統與融雪水、雨水系統分設方案再生水回用率僅為26.01%,遠低于再生水、融雪水、雨水系統統一調蓄方案再生水回用率(56.85%),從水資源管控、景觀環境營造、場館運營等方面進行對比,再生水、融雪水、雨水系統統一調蓄方案對水資源的管理更為高效。
01 項目概況
1.1 項目組成
北京2022年冬奧會和冬殘奧會是我國歷史上第一次舉辦冬季奧運會,冬奧會共設置三大賽區:北京賽區、張家口賽區、延慶賽區。其中延慶賽區位于北京市延慶區西北部小海坨山區佛峪口流域,建設有兩個競賽場館和兩個非競賽場館:國家高山滑雪中心、國家雪車雪橇中心、奧運村和山地新聞中心。總建筑面積約23.08×104m2,其中地上建筑19.6×104m2,地下建筑3.5×104m2。
1.2 供水水源
延慶賽區供水水源主要由佛峪口水庫、白河堡水庫和官廳水庫組成,經技術經濟分析,自來水最終由佛峪口水廠供水,水源則來自現狀佛峪口水庫和白河堡水庫,白河堡凈水廠處理的自來水通過北山輸水管線輸水至佛峪口水廠;賽區造雪用水使用地表水,由白河堡水庫及佛峪口水庫聯合供水。官廳水庫規劃作為冬奧會賽后供水水源。
02 水資源供需情況
2.1 用水需求
延慶賽區用水量主要由場館生活用水和造雪制冰用水組成,具體如表1所示。其中:場館生活用水根據奧運年和非奧運年場館功能、使用時段、用水人數和定額進行計算;造雪制冰用水,奧運年主要用于國家高山滑雪中心,非奧運年根據賽后運營方案詳細計算。
在用水需求方面,造雪用水需求量最大,其中:賽時造雪用水量約為66.26×104m3/a,賽后不同運營方式對用水量的影響顯著,造雪用水量約為19.2×104m3/a。

2.2?可用水資源
①?雨水徑流
延慶賽區分別建有海拔900m和1050m的塘壩兩座,庫容分別為8×104m3和9.15×104m3;海拔800m和1290m的調蓄水池兩座,容積均為1×104m3。其中:900m塘壩位于佛峪口主溝上,匯水面積約1500hm2,年降水徑流量約109.7×104m3。年降水徑流量遠大于塘壩和調蓄水池的總容積19.15×104m3,因此采用興利庫容調節降雨徑流以節省造雪用地表水消耗。
?②?融雪徑流
根據《國家高山滑雪中心水影響評價報告書》進行融雪水水量預測,奧運年融雪水退水各部分比例分布為:蒸發22.6%、入滲35%、自然損失20%,最終形成的徑流進入賽區內總容積約19.15×104m3的4座塘壩和調蓄水池;非奧運年的融雪季節主要在3月—4月,蒸發損失約56.4mm,按造雪面積36.7hm2計算,則融雪水蒸發量約2.07×104m3,入滲和自然損失系數與奧運年相同。融雪徑流量見表2。

③再生水
根據《建筑給水排水設計規范》(GB 50015—2003)中第4.4.1條,“小區生活排水系統排水定額宜為其相應的生活給水系統用水定額的85%~95%”,本項目排水量按生活用水量的90%計算,生活排水到再生水轉化率取75%,延慶賽區場館年排水量計算結果見表3。

2.3 水資源供需關系
①非常規水源供需關系
在未考慮雨水資源利用的情況下,可用水資源中再生水和融雪水作為非常規水源,可供造雪和沖廁、綠化澆灑等使用。生活排水處理的轉化率取75%,融雪水利用率取85%,兩項合計產生總量奧運年為21.16×104m3/a、非奧運年為17.87×104m3/a。
通過表1可以得出,奧運年沖廁和綠化澆灑用水對再生水的需求量約為3.53×104m3/a,非奧運年沖廁和綠化澆灑用水對再生水的需求量為3.28×104m3/a。基于完整年尺度的水資源分析顯示,再生水和融雪水合計提供的水量能夠滿足沖廁、綠化澆灑等需要,尚有剩余可用于造雪。
②常規水資源供需關系
通過表1可以看出,奧運年造雪用水需求量為66.26×104m3/a,自來水(不含沖廁)需求量為9.98×104m3/a;非奧運年造雪用水需求量為19.2×104m3/a,自來水(不含沖廁)需求量為16.35×104m3/a。由于塘壩和調蓄水池儲水可提供造雪用水約19.15×104m3/a,因此奧運年還需外調地表水47.11×104m3/a,自來水9.98×104m3/a;非奧運年基本不用外調地表水,僅需外調自來水16.35×104m3/a。
③水資源整體供需情況
基于完整年尺度分析,延慶賽區水資源供需關系如圖1所示。奧運年總需水量為79.77×104m3/a,其中:造雪用水66.26×104m3/a,生活用水9.98×104m3/a,沖廁綠化用水3.53×104m3/a;奧運年總需外部調水量為57.09×104m3/a,其中:地表水47.11×104m3/a,自來水9.98×104m3/a;非奧運年總需水量為38.83×104m3/a,其中:造雪用水19.2×104m3/a,生活用水16.35×104m3/a,沖廁綠化用水3.28×104m3/a;非奧運年總需外部調水量16.35×104m3/a,全部為自來水。
03 水資源利用方案
3.1方案一:再生水和融雪水、雨水系統分設
再生水和融雪水、雨水系統分開設置,生活污(廢)水全部集中處理,形成達標再生水后供場館沖廁和綠化澆灑等使用。再生水量供大于求時,多余部分在污水處理廠和再生水廠退水排放至佛峪口水庫下游;再生水量供小于求時,不足部分由自來水補充。融雪水和降雨徑流進入塘壩和調蓄水池蓄存,供造雪使用,多余部分通過賽區管廊退水至佛峪口水庫下游。由于融雪徑流和雨水徑流產量、冬季場館全年用水量分布極度不均衡,需要進行逐日分析計算不同計算年的再生水回用率。
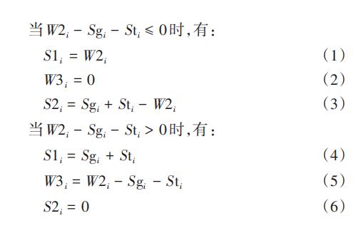
①奧運年再生水系統
根據奧運年全年365d逐日的生活排水量W1i,以及沖廁Sti、綠化澆灑Sgi等用途的逐日用水量,按照下式計算再生水實際用水量S1i、再生水排放量W3i和自來水補水量S2i。

式中:S1i為某日再生水實際用水量,m3/d;W2i為某日再生水供水能力,m3/d,按W1i的75%計算;Sgi為某日綠化澆灑等用水量,m3/d;Sti為某日沖廁用水量,m3/d。
基于以上計算出的逐日數據,對奧運年365d數據進行累加,得出:污水處理站總進水量W1為114 078m3/a,再生水總供水能力W2為85558.5m3/a,再生水實際使用量S1為25585.6m3/a,再生水實際排放量W3為59972.9m3/a,全年自來水補水量為9714.4m3/a。基于逐日分析的奧運年再生水系統,再生水回用率僅為29.90%,而排放占比高達70.10%。由于供需不平衡,在大量排放再生水的情況下,奧運年還需補充自來水彌補再生水的不足,補充水量相當于再生水實際使用量的37.97%。
② 奧運年造雪水系統
融雪徑流和降雨徑流將進入塘壩,蓄水用于造雪系統。根據奧運年全年365d逐日的造雪用水量Rsi,水面蒸發量Rzi、融雪水徑流量Rmi和降雨徑流量Ri,按照下式計算塘壩蓄水量Vi、塘壩向造雪系統實際供水量Rvi和自來水補水量S2i:

式中:Vi為某日塘壩蓄水量,m3/d;Rsi為某日造雪用水量,m3/d;Rzi為某日水面蒸發量,m3/d;Rmi為某日融雪水徑流量,m3/d;Ri為某日降雨徑流量,m3/d。
全年造雪用水量662600m3,其中塘壩總供水量171500m3,不足部分由外部輸入地表水補充,全年補充量為491100m3。根據式(7)~(9),全年25.9%的造雪用水來自塘壩,其余74.1%需外部地表水補充。
③ 非奧運年再生水系統
與奧運年再生水系統計算原理相同,污水處理站總進水量W1為164 634m3/a,再生水總供水能力W2為123475.5m3/a,再生水實際使用量S1為32118.2m3/a,再生水實際排放量W3為91357.3m3/a,全年自來水補水量為681.8m3。基于逐日分析的奧運年再生水系統,再生水回用率僅為26.01%,而排放占比高達73.99%。由于再生水供需不平衡,在大量排放再生水的情況下,奧運年還需補充自來水彌補再生水的不足,補充水量相當于再生水實際使用量的2.12%。由于補充量并不大,可以輔以蓄水調節措施進一步減少補水需求。
④ 非奧運年造雪水系統
與奧運年造雪水系統計算原理相同,賽區內年融雪徑流總量65000m3,塘壩匯水面積內的降雨徑流量1097000m3,造雪系統消耗192000m3,蒸發消耗28419.2m3。因此,非奧運年造雪用水量基本可由塘壩供水,不需額外輸入地表水補充。
3.2 方案二:再生水、融雪水、雨水統一調蓄
再生水和融雪水、雨水等非傳統水源集中通過塘壩調蓄。生活污(廢)水集中全部處理,形成達標再生水后供場館沖廁和綠化澆灑等使用。供需不平衡情況下,再生水多余部分進入塘壩蓄存;供水不足時,由塘壩向場館供水補充。融雪水和降雨徑流進入塘壩蓄存,與再生水混合供造雪使用,多余部分通過賽區管廊退水至佛峪口水庫下游。
該方案將各項用水合并通過塘壩調節,所以在計算中將逐日生活排水量W1i、沖廁用水Sti、綠化澆灑用水Sgi、造雪用水量Rsi、水面蒸發量Rzi、融雪水徑流量Rmi、降雨徑流量Ri一并作為已知條件,計算包括供水、塘壩向再生水系統補水,以及自來水向再生水系統補水;造雪水計算則包括塘壩向造雪水的供水和地表水補水需求等。通過各項進水、用水的相互作用,還可計算通過塘壩再生水向造雪系統供水的總量,以及通過塘壩溢流排放等各項水量。
① 奧運年系統供需關系
某日塘壩的蓄水量Vi計算如下:

② 非奧運年系統供需關系
采用與奧運年相同的計算方法,全年污水處理站進水量W1為164634m3,再生水總供水能力W2為123475.5m3。全年沖廁、綠化等用水量32800m3,再生水直接用水32118.2m3,占比97.92%,其余再生水91357.3m3進入塘壩調蓄,用于補充造雪系統。全年造雪用水量192000m3全部由塘壩蓄水提供,這其中包含再生水38081.1m3。綜上分析,非奧運年包括沖廁、綠化和造雪在內,全年再生水回用率為56.85%。
3.3 方案比選
① 水資源管控
根據“兼顧賽時、注重賽后”的原則,兩方案重點圍繞非奧運年即賽后運行階段進行比選。由于使用不同的調蓄方式,再生水的使用情況差距較大,如表4所示。方案一:再生水全部供給沖廁和綠化澆灑等,多余部分通過退水排放,同時有少量不足采用自來水補充;方案二再生水除供應方案一的相同途徑以外,還通過塘壩調蓄為造雪系統供水,故方案二相應外排量減少,通過計算分析,方案一再生水回用率為26.01%,方案二再生水回用率為56.85%,更節約水資源。

② 景觀環境方面
方案一塘壩進水為融雪水和雨水徑流,方案二在此基礎上增加了再生水。延慶賽區再生水處理要求達到《地表水環境質量標準》(GB 3838—2002)Ⅲ類水標準,再生水水質標準適用于集中式生活飲用水地表水源地二級保護區。此外,針對塘壩蓄水給冬奧賽區建設帶來的永久性改變,與方案一相比,方案二易于營造良好的景觀效果。
③ 場館運營方面
a.兩個方案為場館水資源運營提供了不同的條件。水是未來雪場運營的核心,為實現賽區正常運營,造雪需要從塘壩取水,故建設過程中塘壩需要采取防滲處理等保持水量的工程措施加以修整,還可能根據需要采取保持水質的措施,運營過程塘壩本體需要持續維護,周邊景觀需要營造,且為實現足量蓄水,塘壩間需要調配,即涉及動力費用和設備養護費用,因此賽區內的塘壩管理不同于天然河湖,而是與人工蓄水設施更加相近,故塘壩自身的運營不可避免地成為整體運營的一部分。
方案一中再生水和造雪水系統完全分設,污(廢)水處理與塘壩調蓄各自獨立,這意味著污水處理和再生水廠與塘壩系統具備分別獨立運營的良好條件。方案二,塘壩作為各項蓄水供水的中轉站,切分運營的條件不及方案一。
b.高水平的水資源管控需要以明確清晰的標準為基礎。水質管理是水資源管控水平的重要組成部分,方案一中再生水和造雪水系統完全分設,再生水回用率為26.01%的情景下,污(廢)水處理的出水大部分排放,少部分回用,提高出水水質標準就顯得必要性不大,徒增水處理成本。實際工程中的退水管道,方案一將允許兩種“污水”進入,一是污水處理廠的正常出水,二是事故排水,兩種污水水質差距很大又將進入同一管道系統,一方面造成下游承接退水的系統只能按照不利情況作為條件,將退水全部視為未處理的污水制定處理方案,換言之,對于下游來說,接入未經處理的污水屬于必然的情況,另一方面既然下游能夠承接全部未處理的污水,則賽區污水廠進行污(廢)水處理的必要性又成了問題。上述分析表明,污水通過退水系統向賽區外排放的過程,水質標準管理將變得較為模糊,實際運行中對污染物流出賽區的控制不利。
方案二,再生水和造雪水系統耦合,再生水回用率(56.85%)超過50%。由于排放方式是通過塘壩溢流,必須保持較高的出水水質標準以滿足天然溝道水體的各項要求,出水水質標準易于明確清晰。退水管道只需用于事故排水,對于下游,接入事故排水屬于偶然情況,同時退水水量也將顯著減少。實際運行中,污染物流出賽區將得到更好的控制。因此,從場館運營方面來看,方案二優于方案一。
04 結論和建議
① 根據延慶賽區場館運行情況,將水資源供需情況劃分為奧運年和非奧運年兩個場景分別進行分析,基于完整年尺度的水資源分析顯示,延慶賽區奧運年需從外部調水57.09×104m3,其中地表水47.11×104m3,自來水9.98×104m3;非奧運年需從外部調水16.35×104m3,全部為自來水。
② 水資源利用方案比選提供了再生水系統與融雪水、雨水系統分設和再生水、融雪水、雨水系統統一調蓄兩種方案。基于逐日分析的水資源利用方案顯示,非奧運年再生水系統與融雪水、雨水系統分設方案的再生水回用率僅為26.01%,遠低于再生水、融雪水、雨水系統統一調蓄方案的再生水回用率(56.85%)。
③ 從水資源管控、景觀環境營造、場館運營等方面對主要水資源方案進行分析,發現方案二更能體現出冬奧項目建設方在水資源高效管理和利用方面的水平,因此建議采用方案二作為延慶賽區場館水資源利用的實施方案。根據水量供需分析,非奧運年賽區運營,只需要外調自來水供生活用水,造雪用水因使用融雪水、再生水、雨水而不再需要引入外部地表水水源,從而使造雪水消耗由賽區內部供給,實現了水資源的內部循環。最終延慶賽區給水、排水、塘壩系統設計及工程建設確定按照方案二推進。
以上是小編收集整理的北京冬奧會延慶賽區場館水資源利用方案比選部分內容來自網絡,如有侵權請聯系刪除:153045535@qq.com;
本文地址:http://m.ssjcj8.com/shuichuli/923.html










